Is time travel possible? Here is what special relativity says!
An interesting paradox in special relativity
Einstein’s theory of special relativity said that Time is not absolute as we think. Time is relative and it depends on the observer. Time can be slow or fast for different observers. But it gave birth to many debates and paradoxes, as we have the twin paradox. These paradoxes not only test the validity of the theory theoretically but also make it so interesting to study.
As we see in the theory that time is relative. Let’s say we have a time span, that can be longer for one observer A and shorter for another observer B. That would mean that the time is slower in the rest frame of observer A. But the question is Can the time span be positive for one observer and negative for another? Is this possible? Einstein says that time and space are the same things. Time interval in one frame to another frame will also depend on the spatial coordinates. And we do enough calculations and we find it out that yes, it is possible. If we choose some particular coordinates the time span will be positive for one observer and negative for the other.
But what is it mean to have the time span negative? Timespan is the time difference between two events, right? Let’s say between event A and event B it is t. This time interval being positive would mean that event A is happening first and event B is happing later, and time span being negative would mean that Event B is happing first and then event A happens. Okay, so that would mean, according to Einstein’s theory of relativity, event A can happen before event B for one observer and the opposite for the other? Can the order of the events be reversed? Well, that’s precisely true.
But wait, what if event A is the cause for event B? For example, let’s say event A is I fire a bullet towards a man and event B is it hits the man and he dies? Or let’s say event A is my father is born and event B I am born. In this case, how can event B happen before Event A. The man can not die if the gun is not fired. I can’t be born without my father in the world, well that’s ridiculous.
It turns out to be a paradox, you say that the event of order can be reversed but if that’s true, you can find a certain frame with a whole mess, in which things are happening for no reason. A bullet arrives from nowhere and a person dies. If you are in that rest frame you will get mad just by seeing the scenario.
But we can’t reverse all sorts of events, there is a special condition to follow for reversing the order. It turns out that it is not possible, to reverse the order of events that are in a cause-effect relationship. But why? Now it is time to do some math. (You can skip the math and look at the result at the end, I don’t want you to feel bad.)
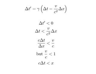
According to Lorentz transformation, the time interval in another frame is given by:
Now we have to look for what type of events, the order can be reversed- so we need to put a constrain such that the Δt’ would be negative:
Here c delta t is the distance light can travel in a given time and it is less than x so light can’t go from one point to another in a given time. And it means that the order of events is reversible only if even light can’t travel from one event to another in the given time span.
But wait, in our case, event A is firing the bullet, and event B is that it hits the man at some distance after some finite time. If the bullet is traveling there in a given time, light can obviously travel. It means that in this case, we will not find any frame in which the events are reversed. In common words, the man will not die from a bullet appearing from nowhere.
Yes, that’s true and we can generalize it to all causally related events. How do we know that the events are related? The idea is the one event should send a signal to affect the other. Like a letter, you get an envelope that this thing is happening. And now as we know that if this envelope is traveling from one event to other then light can obviously travel, and hence the events are not reversible.
On the other hand, for reversible events, the light can’t travel from the coordinates of one event to another. In that case, there would be no situation that one event can affect the other so there wouldn’t be any paradoxes.
This situation is beautifully described by the concept of a light cone, (See the picture given below). This cone is a 4-D structure having boundaries of a light pulse traveling from infinite past to infinite future. The events inside this cone can be related by signals traveling slower than the speed of light and they are called time-like related. The events on the boundaries can be related by the signals traveling at the speed of light and they are called light-like related. And events outside the cone are related by the signals traveling faster than the speed of light or simply can’t be related, they are called space-like related.
The red dot at the center is the present, it’s where you are right now. The separation is the time axis the part above this line in the future and the part below it is passed. The green shaded region is the relative future, it consists of all the events that are in the future and can be causally connected. The rest future is the absolute future, those are the events you can’t do anything about. The blue region is called the relative past.
Here is a simple question for the thinkers, We say the boundaries of the light cone, the light pulse comes from infinite past and go to infinite future. Would that mean that time had no beginning? (I thought time began from the big bang.). Think about this and do tell me in the comment section.


